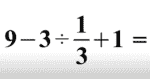
Εάν λύσετε αυτόν τον μαθηματικό γρίφο τότε έχετε πολύ υψηλό IQ
Εάν λύσετε αυτόν τον μαθηματικό γρίφο τότε έχετε πολύ υψηλό IQ
Μετάβαση στην Πηγή
Author: Γιώτα Κορώνα
Πως σας φάνηκε το αρθρο?
ΑΠΙΘΑΝΟ
0
ΚΑΛΟ
0
ΜΕ ΑΡΕΣΕ
0
ΟΚ ΔΕΝ ΤΡΕΛΑΘΗΚΑ
0
ΧΑΧΑ ΕΛΑ ΠΛΑΚΑ ΚΑΝΕΙΣ
0









